Carboxymethyl cellulose (CMC) and sodium carboxymethyl cellulose (Sodium CMC) are essential derivatives of cellulose known for their versatile functional properties. CMC is modified cellulose characterized by the introduction of carboxymethyl groups, enhancing its solubility and thickening ability. Sodium CMC, a water-soluble form, features sodium ions that further improve its functional characteristics. This document explores their chemical composition, solubility, functional properties, and applications, highlighting the distinctions between these two valuable compounds.
Carboxymethyl cellulose (CMC) is a modified form of cellulose that possesses a range of functional properties, making it highly valuable in various applications. This compound is produced by treating cellulose with specific reagents, resulting in the introduction of carboxymethyl groups, which significantly increase its solubility in water. Typically found as a fine, white powder, CMC readily dissolves to form viscous solutions that can thicken, stabilize, and emulsify mixtures. Its molecular composition allows for exceptional moisture retention and texture enhancement, contributing to its widespread use in industries such as food, pharmaceuticals, and personal care products.

chemical structure of CMC from pubchem.ncbi.nlm.nih.gov
Sodium carboxymethyl cellulose (CMC) is a water-soluble derivative of cellulose, a natural polymer obtained from plant cell walls. It is synthesized through the etherification process, where cellulose reacts with chloroacetic acid in the presence of sodium hydroxide. This reaction introduces carboxymethyl groups into the cellulose structure, enhancing its solubility and functional properties. Sodium CMC is typically a white, odorless powder that forms a gel-like consistency when mixed with water. Its ability to retain moisture and improve texture is a result of its unique molecular structure.

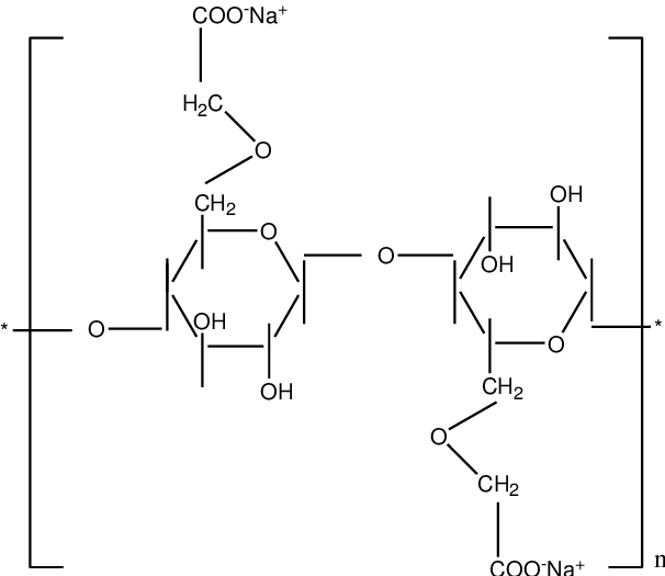
chemical structure of Sodium CMC from researchgate.net
Sodium CMC is the sodium salt form of CMC, created when a sodium ion (Na+) replaces the hydrogen atom in the carboxymethyl group.
Sodium CMC is formed by the reaction of cellulose with chloroacetic acid in the presence of sodium hydroxide, resulting in the substitution of carboxymethyl groups and the incorporation of sodium ions. This specific chemical structure enhances its solubility in water, allowing for the formation of viscous solutions. The presence of sodium ions not only increases the ionic strength but also contributes to improved interactions with other ingredients, making Sodium CMC an effective thickening and stabilizing agent.
In contrast, CMC refers to the broader category of carboxymethyl cellulose, which can exist in various ionic forms, including sodium, potassium, or calcium salts. This variability in cation composition can influence its solubility and functional properties. While all forms of CMC retain the carboxymethyl groups that confer their thickening ability, the specific ionic form dictates how well the compound interacts in different formulations. As a result, the performance characteristics of CMC can differ significantly based on its ionic composition and the specific salts present, which affects its overall usability in various applications.
Sodium CMC is highly soluble in water, primarily due to its ionic nature. The presence of sodium ions disrupts the hydrogen bonding that typically occurs between cellulose chains, allowing the molecules to disperse more easily in aqueous solutions. This results in a clear, viscous solution that can maintain its properties across a wide range of pH levels, making Sodium CMC particularly effective for applications requiring consistent performance, such as in food products, pharmaceuticals, and cosmetics.
The solubility of Sodium CMC is influenced by factors like temperature, concentration, and the presence of other ions. Higher temperatures generally enhance solubility, while increasing concentrations can lead to gel formation rather than a clear solution. This solubility characteristic is crucial for formulations where immediate thickening or stabilization is required.
In contrast, CMC's solubility can vary significantly based on its ionic form and specific formulation. While this product made by CMC chemical company is generally water-soluble, it may not dissolve as readily as Sodium CMC, especially if it contains different cations like calcium or potassium, which can alter its interaction with water. The degree of substitution of carboxymethyl groups also plays a role; lower substitution degrees may result in decreased solubility. Therefore, the specific conditions of a formulation—such as pH and ionic strength—can greatly affect the solubility and performance of CMC in applications. This variability often necessitates careful formulation adjustments to achieve the desired consistency and texture.
Sodium CMC exhibits a range of functional properties that make it a valuable ingredient across various industries. One of its most notable characteristics is its exceptional thickening ability. When dissolved in water, Sodium CMC increases the viscosity of solutions, providing a thicker texture that enhances product stability. This property is particularly useful in food products, where it can improve mouthfeel and prevent ingredient separation.
Additionally, Sodium CMC serves as an effective stabilizer. It helps maintain the uniform distribution of ingredients in emulsions and suspensions, preventing phase separation over time. This stabilizing action is vital in applications such as sauces, salad dressings, and pharmaceutical formulations, where consistency is crucial for both aesthetic and functional reasons.
Another key functional property of Sodium CMC is its emulsifying capability. It aids in the formation and stabilization of emulsions, allowing for the even mixing of water and oil components. This is particularly important in cosmetic and personal care products, where a stable emulsion is essential for product performance and consumer appeal.
Moreover, Sodium CMC's ability to retain moisture enhances the shelf life and quality of products. By forming a gel-like network in formulations, it traps water molecules, preventing dehydration and maintaining texture. This moisture-retention property is especially beneficial in baked goods, where it helps retain freshness, and in pharmaceutical products, where it can improve bioavailability.
While CMC shares many of these functional properties, its performance can vary based on its specific ionic form and degree of substitution. Without sodium ions, CMC may not interact as effectively with other ingredients, leading to differences in thickening and stabilizing capabilities. Understanding these distinctions is essential for formulators aiming to optimize product performance across various applications.

Sodium CMC is extensively utilized across multiple industries due to its versatile functional properties. In the food industry, it acts as a thickening agent and stabilizer, enhancing the texture and mouthfeel of products like sauces, dressings, ice cream, and baked goods. Its ability to retain moisture helps improve the freshness and shelf life of these items, making it a popular choice for manufacturers aiming to maintain quality.
In the pharmaceutical sector, Sodium CMC is commonly used as a binder and stabilizer in tablet formulations and suspensions, or like sodium CMC in toothpaste. Its viscosity-enhancing properties ensure that active ingredients are evenly distributed, improving bioavailability and effectiveness. Additionally, it helps maintain the consistency of liquid medications, making them easier to administer.
In cosmetics and personal care products, Sodium CMC functions as an emulsifier, stabilizing oil-in-water emulsions found in creams, lotions, and gels. Its ability to form a gel-like consistency allows for better product application and enhances the sensory experience for consumers. Furthermore, its moisture-retention capabilities contribute to the overall efficacy of skincare formulations.

In industrial applications, Sodium CMC serves as a thickener in paints and coatings, improving application properties and preventing settling. It is also used in oil drilling fluids to enhance viscosity and stabilize suspensions, providing better control during drilling operations.
In contrast, CMC—while similar—may find limited applications based on its ionic form. The presence of different cations can affect solubility and functionality, leading to variability in performance across formulations. As a result, formulators must carefully consider the specific type of CMC they are using to ensure it meets the desired application requirements effectively.
| Feature | Sodium CMC | CMC |
| Chemical Structure | Contains sodium ions (Na+) attached to the carboxymethyl groups | Can be in sodium or non-sodium forms |
| Solubility | Highly soluble in water | Solubility depends on the degree of substitution (DS) and pH |
| Viscosity | Generally higher viscosity compared to CMC | Viscosity varies depending on the sodium content |
| Charge | Anionic (negatively charged) | Can be anionic or neutral |
| Applications | Food thickener, emulsifier, binder; pharmaceuticals; personal care products | Similar to sodium CMC, but with broader applications depending on the form |
In summary, both CMC and Sodium CMC play critical roles across various industries due to their unique properties. While Sodium CMC offers superior solubility and stability, CMC's broader ionic variability influences its performance in formulations. Understanding the differences in their chemical structures, solubility profiles, and functional properties is vital for optimizing their applications in food, pharmaceuticals, cosmetics, and beyond. As industries continue to innovate, the demand for these compounds will likely grow, underscoring their importance in modern formulations.